六方协同成果
来源:绵阳飞行职业学院
时间:2025.09.17
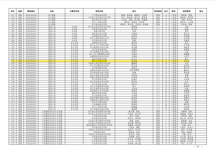
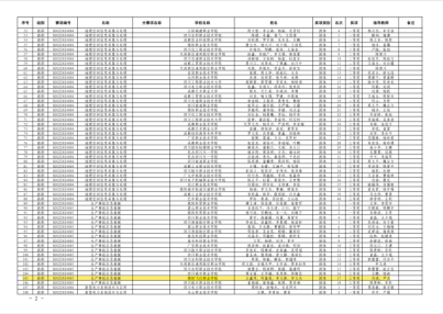
“六方协同“办学模式成果支撑材料目录
1.成果总结
2.成果内容
2.1 立项依据
2.1.1 四川省教育厅关于高等学校设置申报项目纳入省高等学校设置“十三五”规划的复函
2.1.2 绵阳市人民政府关于支持将四川泛美教育投资有限责任公司新建西南航空飞行学院纳入四川省“十三五”高校设置规划的函
2.1.3 北川羌族自治县促进低空经济发展十条政策(2024年试行)
2.1.4 北川羌族自治县促进低空经济发展十条政策(2025年发布)
2.1.5 院级课题:基于“六方协同” 模式的绵阳飞行职业学院产教融合创新实践研究(2022年已结题)
2.2 阶段性成果
2.2.1 携手长城汽车,共建校企合作人才培养基地
2.2.2 携手共育国际英才!中新国际航空产业学院揭牌签约仪式隆重举行
2.2.3 绵阳飞行职业学院与蜂巢能源科技股份公司举行共建人才培养基地授牌仪式
2.2.4 万声科技集团签署校企合作协议
2.2.5 北部湾航空人才培养定点基地授牌
2.2.6 绵阳飞院牵手北川石椅羌寨创建校企合作新范式
2.2.7 绵阳低空经济产业学院揭牌,开启低空经济教育新篇章
2.2.8 绵阳飞行职业学院与吉利集团达成校企合作协议:定向培养中高端应用人才
2.2.9 绵阳飞行学院携手纵横无人机搭建国内最大无人机产学研平台
2.2.10 绵阳飞行职业学院与北川永昌机场——绵阳科航通用机场管理有限责任公司签署校企合作协议
2.2.11 绵阳飞行职业学院与四川九洲永昌检测技术服务有限责任公司签署校企合作协议
2.2.12 绵阳飞行职业学院与北川羌族自治县第三人民医院签署校企合作协议
2.2.13 绵阳飞行职业学院与四川格斯拉科技有限公司签署校企合作协议
2.2.14 绵阳飞行职业学院与吉峰科技签署校企合作协议
2.2.15 绵阳飞行职业学院与绵阳心鼎力体育文化传播有限公司签署校企合作
2.2.16 课题《园院地融合,产学训一体,无人机应用技术现场工程师培养北川模式的实践研究》获省级立项
2.2.17 消防救援技术专业获得绵阳市市级优势专业评选
2.2.18 航空实训示范基地、飞行专业实训基地或绵阳市市级示范实训基地评选
2.2.19 出版电子专著《协和·协作·协调:高职院校政行团校企园“六方协同”办学模式实证研究-——以绵阳飞行职业学院为例》
2.2.20 发表相关论文《协和·协调·协作——绵飞院“政行团校企园六方协同办学模式”探索实践》
3.获奖情况
3.1国家级和省级专业方面
3.1.1 第三批全国学校急救教育试点学校
3.1.2 “金平果”专业排名第1——消防救援技术专业
3.1.3 民航行业产教融合案例
3.1.4 中小学和职业院校教师校长省级培训专家库 “专家”
3.2 人才培养方面
3.2.1 四川省大学英语三级考试(国际人才英语考试 初级)优秀考点院校
3.2.2 四川“第八届全省学生‘学宪法 讲宪法’活动”高校优秀组织奖
3.2.4 2024年四川省大学生田径比赛体育道德风尚奖
3.2.5 2024一带一路暨金砖国家技能发展与技术创新大赛第三届应急救援技术赛项西南赛区二等奖
3.2.6 第十五届蓝桥杯全国软件和信息技术专业人才大赛三等奖(四川赛区)
3.2.7 十八届‘挑战杯’四川省大学生课外学术科技作品竞赛 穹顶飞梭-高空幕墙清洗无人机项目获省级三等奖
3.2.8 十八届‘挑战杯’四川省大学生课外学术科技作品竞赛 智控植保-适应伸缩喷洒无人机项目获省级三等奖
3.2.9 十八届‘挑战杯’四川省大学生课外学术科技作品竞赛—蜉蝣鲸项目获省级三等奖
3.2.10 2024年“中银杯”四川省职业院校技能大赛飞机维修赛项获省级二等奖
3.2.11 2025年四川省大学生田径运动会获省级第四名、第五名、第七名、第七名、第八名
3.2.12 2025年四川省大学生乒乓球比赛获省级双打第四名
3.2.13 2025年四川省大学生乒乓球比赛获省级优秀运动员
3.2.14 四川省大学生职业规划大赛获省级银奖
3.2.15 四川省职业院校技能大赛高职组人物形象设计赛创意晚宴整体妆造比赛项目获省级三等奖
3.2.16 2024年“中银杯”四川省职业院校技能大赛 智能飞行器应用技术赛项获省级三等奖
3.2.17 2024年“中银杯”四川省职业院校技能大赛智能电子产品设计与开发赛项高职组获省级三等奖
3.2.18 2024年“中银杯”四川省职业院校技能大赛飞机维修赛项获省级二等奖1项、三等奖1项
3.2.19 2024年“中银杯”四川省职业院校技能大赛研学旅行赛项获省级三等奖
3.2.20 四川省职业院校技能大赛高职组“Uchallenge英语挑战赛演讲分赛项获省级一等奖
3.2.21 四川省职业院校技能大赛高职组“英语口语”比赛获省级二等奖
3.2.22 四川省职业院校技能大赛高职组“Uchallenge英语挑战赛写作分赛项分赛项获省级二等奖
3.2.23 四川省第五届“贡嘎杯”青少年校园体育联赛足球高校组总决赛获省级第十名(三等奖)
3.2.24 中银杯Uchallenge英语挑战赛跨境电商直播赛项获省级三等奖
3.2.25 2024年“中银杯”四川省职业院校技能大赛(高职组)——生产事故应急救援赛项获省级三等奖
3.2.26 2024年“中银杯”四川省职业院校技能大赛(高职组)——人物形象设计艺术彩绘美甲分赛项获省级二等奖1项、三等奖1项
3.2.27 2024年“中银杯”四川省职业院校技能大赛(高职组)——体育活动设计与实施赛项获省级三等奖
3.2.28 2024年全国啦啦操联赛(成都站)——公开青年丙组——集体街舞自选动作获省级一等奖
3.2.29 “启航新征程,同心向未来”第三届川渝青年教师风采大赛获省级三等奖
3.2.30 2025年蓝桥杯-单片机设计与开发(四川赛区)获国家级行业协会三等奖
3.2.31 2024年蓝桥杯-单片机设计与开发(四川赛区)获国家级行业协会三等奖
3.2.32 2025年蓝桥杯-视觉艺术设计-海报设计获省级行业协会二等奖
3.2.33 2024 第八届一带一路暨金砖国家技能发展与技术创新大赛 首届无人机操控与反制赛项获国家级行业协会三等奖2项
3.2.34 2025 年第五届全国院校空中乘务专业技能大赛南部赛区复赛获省级行业协会一等奖1项、二等奖3项、三等奖2项
3.2.35 2024 第八届一带一路暨金砖国家技能发展与技术创新大赛-创新方法应用赛项 基于TRIZ理论植保无人机伸缩喷头的设计获国家级行业协会三等奖
3.2.36 第四届“外教社·词达人杯”全国大学生英语词汇能力大赛四川赛区高职高专非英语类专业组获省级二等奖4项、三等奖4项
3.2.37 国青杯全国高校艺术设计作品展评教师组获国家级行业协会二等奖
3.2.38 中国故事大赛·双语中国2024全国大学生外语翻译大赛获国家级行业协会一等奖1项、三等奖1项、优秀奖1项
3.2.39 “雄冠杯”2023年四川省跆拳道超级联赛(总决赛) 个人品势(大学组) 冠军;73kg个人竞技(大学组) 亚军;69kg个人竞技(大学组)季军
3.2.40 首届“永创杯”全国高校创意设计作品展评——作品《节约粮食》获国家级行业协会一等奖
3.2.41 首届“永创杯”全国高校创意设计作品展评——作品《画江湖之不良人》获国家级行业协会一等奖
3.2.42 首届“永创杯”全国高校创意设计作品展评——作品《束缚》获国家级行业协会二等奖
3.2.43 首届“永创杯”全国高校创意设计作品展评——作品《野蛮生长》获国家级行业协会二等奖
3.2.44 首届“永创杯”全国高校创意设计作品展评——作品《永远跟党走》获国家级行业协会二等奖
3.2.45 首届“永创杯”全国高校创意设计作品展评——作品《茶》获国家级行业协会三等奖
3.2.46 首届“永创杯”全国高校创意设计作品展评——作品《庆生》获国家级行业协会三等奖
3.2.47 首届“永创杯”全国高校创意设计作品展评——作品《保护动物》获国家级行业协会三等奖
3.2.48 首届“永创杯”全国高校创意设计作品展评——作品《全民健身》获国家级行业协会三等奖
3.2.49 首届“永创杯”全国高校创意设计作品展评——作品《JinX》获国家级行业协会二等奖
3.2.50 2023年全国行业职业技能竞赛--全国汽车维修服务职业技能竞赛四川省选拔赛学生组获省级一等奖
3.2.51 2023年全国行业职业技能竞赛--全国汽车维修服务职业技能竞赛四川省选拔赛学生组获省级二等奖
3.3科研创新方面
3.3.1 中高职贯通培养背景下高职空乘 “专业英语” 理实一体化教学实践研究(GZHG2022 - 263)通过省级结项
3.3.2 落实立德树人根本任务背景下航空类高职院校思政课程教学方法改革探索与研究(GZJG2022 - 262)通过省级结项
3.3.3 信息化背景下直升机驾驶技术专业虚拟教学改革实践研究(GZHG2022 - 261)通过省级结项
3.3.4 职业教育服务技能型社会建设研究 - 航空主题职业教育助力劳动教育的课程体系研究(GZHG2022-260)通过省级结项
3.3.5 AI使用对大学生创新行为的影响机制研究(XLJKJY2558B)获省级立项
3.3.6 基于电信云的高职教育“云网融合助力教育数字化”创新实证研究——以绵阳飞行职业学院为例获省级立项
3.3.7 整合资源构建高校实践育人共同体研究(川教函(2024)288号)获得省级立项
3.3.8 基于养老产业需求的高职社区康复专业中国特色学徒制人才培养模式研究通过省级结项
3.3.9 “互联网”+时代高职英语信息化教学模式改革研究(JYFZ101791)获国家级结题
3.3.10 高职院校思政课程中人生观教育路径研究获省级立项
3.3.11 具有拉拔旋钮带外圈拨挡的复合旋钮取得国家级专利授权
3.3.12 一种用于飞行模拟器的微动双灯按键取得国家级专利授权
3.3.13 具有三自由度的虚拟现实模拟器取得国家级专利授权
3.3.14 具有外围拨档功能的编码器开关取得国家级专利授权
3.3.15 六自由度并联机构运动速度算法优化及速率提升方法取得国家级专利授权
3.3.16 通航固定翼飞行模拟器的混合比杆取得国家级专利授权
3.3.17 通航固定翼飞行模拟器的油门杆取得国家级专利授权
3.3.18 一种飞行模拟器单动操纵机构取得国家级专利授权
3.3.19 一种三爪传力机构经济成型夹具取得国家级专利授权
3.3.20 一种适用于飞行模拟器的高度表取得国家级专利授权
3.3.21 一种适用于飞行模拟器的新型磁电机电门开关取得国家级专利授权
3.3.22 一种适用于固定翼飞行训练器的襟翼调节指示模块取得国家级专利授权
3.3.23 一种适用于通航模拟器的综合航电系统取得国家级专利授权
3.3.24 一种双向旋转快速解锁结构取得国家级专利授权
3.3.25 一种用于大型固定翼飞机模拟器的联动操纵杆取得国家级专利授权
3.3.26 一种具有伸缩功能的无人机喷洒结构取得国家级专利授权
3.4 技术培训方面
3.4.1 四川省普通话水平测试站获批
3.4.2 学院获得绵阳市市级电工、钳工、养老护理员、消防设施操作员、电子商务师职业技能等级认定资格
3.5社会服务方面
3.5.1四川省无偿献血优秀高校
3.5.2四川省暑期“三下乡”社会实践活动全国重点团队“民族团结实践团”芳草志愿者协会
3.5.3四川省节水型高校
3.5.4省级研学旅行实践基地
4.成果应用效果和推广情况
4.1成果受到四川省教育厅官网报道
5.结题验收
2.1.1 四川省教育厅关于高等学校设置申报项目纳入省高等学校设置“十三五”规划的复函

2.1.2 绵阳市人民政府关于支持将四川泛美教育投资有限责任公司新建西南航空飞行学院纳入四川省“十三五”高校设置规划的函


2.1.3 北川羌族自治县促进低空经济发展十条政策(2024年试行)

2.1.4 北川羌族自治县促进低空经济发展十条政策(2025年发布)

2.1.5 院级课题:基于“六方协同” 模式的绵阳飞行职业学院产教融合创新实践研究(2022年已结题)


2.2.2 携手共育国际英才!中新国际航空产业学院揭牌签约仪式隆重举行

2.2.3 绵阳飞行职业学院与蜂巢能源科技股份公司举行共建人才培养基地授牌仪式




2.2.7 绵阳低空经济产业学院揭牌,开启低空经济教育新篇章


2.2.8 绵阳飞行职业学院与吉利集团达成校企合作协议:定向培养中高端应用人才

2.2.9 绵阳飞行学院携手纵横无人机搭建国内最大无人机产学研平台

2.2.10 绵阳飞行职业学院与北川永昌机场——绵阳科航通用机场管理有限责任公司签署校企合作协议

2.2.11 绵阳飞行职业学院与四川九洲永昌检测技术服务有限责任公司签署校企合作协议

2.2.12 绵阳飞行职业学院与北川羌族自治县第三人民医院签署校企合作协议

2.2.13 绵阳飞行职业学院与四川格斯拉科技有限公司签署校企合作协议


2.2.15 绵阳飞行职业学院与绵阳心鼎力体育文化传播有限公司签署校企合作

2.2.16 课题《园院地融合,产学训一体,无人机应用技术现场工程师培养北川模式的实践研究》获省级立项




2.2.18 航空实训示范基地、飞行专业实训基地或绵阳市市级示范实训基地评选



2.2.19 出版电子专著《协和·协作·协调:高职院校政行团校企园“六方协同”办学模式实证研究-——以绵阳飞行职业学院为例》

2.2.20 发表相关论文《协和·协调·协作——绵飞院“政行团校企园六方协同办学模式”探索实践》





3.1.4 中小学和职业院校教师校长省级培训专家库 “专家”


3.2.1 四川省大学英语三级考试(国际人才英语考试 初级)优秀考点院校

3.2.2 四川“第八届全省学生‘学宪法 讲宪法’活动”高校优秀组织奖

3.2.3 四川省大学生田径比赛斩获佳绩


3.2.5 2024一带一路暨金砖国家技能发展与技术创新大赛第三届应急救援技术赛项西南赛区二等奖

3.2.6 第十五届蓝桥杯全国软件和信息技术专业人才大赛三等奖(四川赛区)

3.2.7 十八届‘挑战杯’四川省大学生课外学术科技作品竞赛 穹顶飞梭-高空幕墙清洗无人机项目获省级三等奖


3.2.8 十八届‘挑战杯’四川省大学生课外学术科技作品竞赛 智控植保-适应伸缩喷洒无人机项目获省级三等奖


3.2.9 十八届‘挑战杯’四川省大学生课外学术科技作品竞赛—蜉蝣鲸项目获省级三等奖

3.2.10 2024年“中银杯”四川省职业院校技能大赛飞机维修赛项获省级二等奖

3.2.11 2025年四川省大学生田径运动会获省级第四名、第五名、第七名、第七名、第八名

3.2.12 2025年四川省大学生乒乓球比赛获省级双打第四名

3.2.13 2025年四川省大学生乒乓球比赛获省级优秀运动员





3.2.15 四川省职业院校技能大赛高职组人物形象设计赛创意晚宴整体妆造比赛项目获省级三等奖

3.2.16 2024年“中银杯”四川省职业院校技能大赛 智能飞行器应用技术赛项获省级三等奖

3.2.17 2024年“中银杯”四川省职业院校技能大赛智能电子产品设计与开发赛项高职组获省级三等奖

3.2.18 2024年“中银杯”四川省职业院校技能大赛飞机维修赛项获省级二等奖1项、三等奖1项

3.2.19 2024年“中银杯”四川省职业院校技能大赛研学旅行赛项获省级三等奖

3.2.20 四川省职业院校技能大赛高职组“Uchallenge英语挑战赛演讲分赛项获省级一等奖

3.2.21 四川省职业院校技能大赛高职组“英语口语”比赛获省级二等奖

3.2.22 四川省职业院校技能大赛高职组“Uchallenge英语挑战赛写作分赛项分赛项获省级二等奖

3.2.23 四川省第五届“贡嘎杯”青少年校园体育联赛足球高校组总决赛获省级第十名(三等奖)

3.2.24 中银杯Uchallenge英语挑战赛跨境电商直播赛项获省级三等奖

3.2.25 2024年“中银杯”四川省职业院校技能大赛(高职组)——生产事故应急救援赛项获省级三等奖

3.2.26 2024年“中银杯”四川省职业院校技能大赛(高职组)——人物形象设计艺术彩绘美甲分赛项获省级二等奖1项、三等奖1项

3.2.27 2024年“中银杯”四川省职业院校技能大赛(高职组)——体育活动设计与实施赛项获省级三等奖

3.2.28 2024年全国啦啦操联赛(成都站)——公开青年丙组——集体街舞自选动作获省级一等奖

3.2.29 “启航新征程,同心向未来”第三届川渝青年教师风采大赛获省级三等奖

3.2.30 2025年蓝桥杯-单片机设计与开发(四川赛区)获国家级行业协会三等奖

3.2.31 2024年蓝桥杯-单片机设计与开发(四川赛区)获国家级行业协会三等奖

3.2.32 2025年蓝桥杯-视觉艺术设计-海报设计获省级行业协会二等奖

3.2.33 2024 第八届一带一路暨金砖国家技能发展与技术创新大赛 首届无人机操控与反制赛项获国家级行业协会三等奖2项


3.2.34 2025 年第五届全国院校空中乘务专业技能大赛南部赛区复赛获省级行业协会一等奖1项、二等奖3项、三等奖2项






3.2.35 2024 第八届一带一路暨金砖国家技能发展与技术创新大赛-创新方法应用赛项 基于TRIZ理论植保无人机伸缩喷头的设计获国家级行业协会三等奖

3.2.36 第四届“外教社·词达人杯”全国大学生英语词汇能力大赛四川赛区高职高专非英语类专业组获省级二等奖4项、三等奖4项








3.2.37 国青杯全国高校艺术设计作品展评教师组获国家级行业协会二等奖

3.2.38 中国故事大赛·双语中国2024全国大学生外语翻译大赛获国家级行业协会一等奖1项、三等奖1项、优秀奖1项



3.2.39 “雄冠杯”2023年四川省跆拳道超级联赛(总决赛) 个人品势(大学组) 冠军;73kg个人竞技(大学组) 亚军;69kg个人竞技(大学组)季军



3.2.40 首届“永创杯”全国高校创意设计作品展评——作品《节约粮食》获国家级行业协会一等奖

3.2.41 首届“永创杯”全国高校创意设计作品展评——作品《画江湖之不良人》获国家级行业协会一等奖

3.2.42 首届“永创杯”全国高校创意设计作品展评——作品《束缚》获国家级行业协会二等奖

3.2.43 首届“永创杯”全国高校创意设计作品展评——作品《野蛮生长》获国家级行业协会二等奖

3.2.44 首届“永创杯”全国高校创意设计作品展评——作品《永远跟党走》获国家级行业协会二等奖

3.2.45 首届“永创杯”全国高校创意设计作品展评——作品《茶》获国家级行业协会三等奖

3.2.46 首届“永创杯”全国高校创意设计作品展评——作品《庆生》获国家级行业协会三等奖

3.2.47 首届“永创杯”全国高校创意设计作品展评——作品《保护动物》获国家级行业协会三等奖

3.2.48 首届“永创杯”全国高校创意设计作品展评——作品《全民健身》获国家级行业协会三等奖

3.2.49 首届“永创杯”全国高校创意设计作品展评——作品《JinX》获国家级行业协会二等奖

3.2.50 2023年全国行业职业技能竞赛--全国汽车维修服务职业技能竞赛四川省选拔赛学生组获省级一等奖

3.2.51 2023年全国行业职业技能竞赛--全国汽车维修服务职业技能竞赛四川省选拔赛学生组获省级二等奖

3.3.1 中高职贯通培养背景下高职空乘 “专业英语” 理实一体化教学实践研究(GZHG2022 - 263)通过省级结项


3.3.2 落实立德树人根本任务背景下航空类高职院校思政课程教学方法改革探索与研究(GZJG2022 - 262)通过省级结项


3.3.3 信息化背景下直升机驾驶技术专业虚拟教学改革实践研究(GZHG2022 - 261)通过省级结项


3.3.4 职业教育服务技能型社会建设研究 - 航空主题职业教育助力劳动教育的课程体系研究(GZHG2022-260)通过省级结项


3.3.5 AI使用对大学生创新行为的影响机制研究(XLJKJY2558B)获省级立项

3.3.6 基于电信云的高职教育“云网融合助力教育数字化”创新实证研究——以绵阳飞行职业学院为例获省级立项

3.3.7 整合资源构建高校实践育人共同体研究(川教函(2024)288号)获得省级立项

3.3.8 基于养老产业需求的高职社区康复专业中国特色学徒制人才培养模式研究通过省级结项

3.3.9 “互联网”+时代高职英语信息化教学模式改革研究(JYFZ101791)获国家级结题

3.3.10 高职院校思政课程中人生观教育路径研究获省级立项

3.3.11 具有拉拔旋钮带外圈拨挡的复合旋钮取得国家级专利授权

3.3.12 一种用于飞行模拟器的微动双灯按键取得国家级专利授权

3.3.13 具有三自由度的虚拟现实模拟器取得国家级专利授权

3.3.14 具有外围拨档功能的编码器开关取得国家级专利授权

3.3.15 六自由度并联机构运动速度算法优化及速率提升方法取得国家级专利授权

3.3.16 通航固定翼飞行模拟器的混合比杆取得国家级专利授权

3.3.17 通航固定翼飞行模拟器的油门杆取得国家级专利授权


3.3.19 一种三爪传力机构经济成型夹具取得国家级专利授权

3.3.20 一种适用于飞行模拟器的高度表取得国家级专利授权

3.3.21 一种适用于飞行模拟器的新型磁电机电门开关取得国家级专利授权

3.3.22 一种适用于固定翼飞行训练器的襟翼调节指示模块取得国家级专利授权

3.3.23 一种适用于通航模拟器的综合航电系统取得国家级专利授权


3.3.25 一种用于大型固定翼飞机模拟器的联动操纵杆取得国家级专利授权

3.3.26 一种具有伸缩功能的无人机喷洒结构取得国家级专利授权


3.4.2 学院获得绵阳市市级电工、钳工、养老护理员、消防设施操作员、电子商务师职业技能等级认定资格



3.5.2四川省暑期“三下乡”社会实践活动全国重点团队“民族团结实践团”芳草志愿者协会









 
            
 
                     
                     
                     
                     
                        
                     
                        
                     
         
                     
                     
                     
                     
                     
                    
